Location:Home >> News >> Photo News

Carbohydrate Metabolism and Photosynthesis Changes in Response to NaCl Stress

2013-10-31


Plants possess abiotic stress responses that alters photosynthetic metabolism under salinity stress. Little is known about the effects of NaCl stress on perennial ryegrass (Lolium perenne L.) photosynthesis and carbohydrate flux.  

Dr. HU Tao, under the supervision of Prof. FU Jinmin from Wuhan Botanical Garden, explored the carbohydrate metabolism, the stomatal and metabolic changes associated with photosynthetic and identified the gene expression responses to NaCl stress in perennial ryegrass (Lolium perenne).  

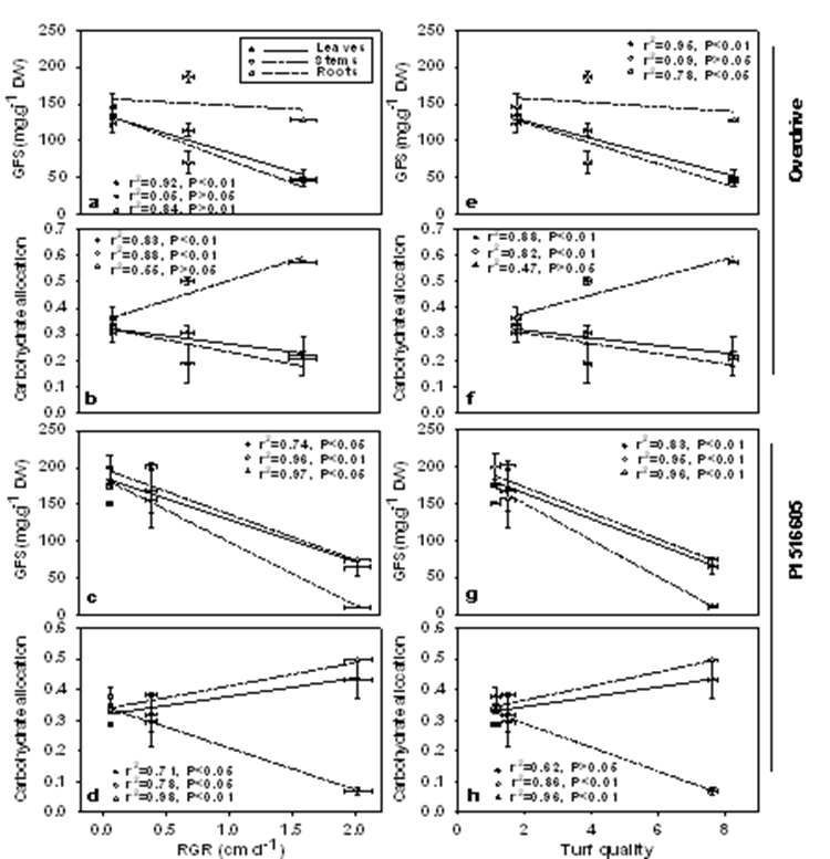
Seventy-four days old seedlings of two perennial ryegrass accessions with different salt tolerance were subjected to three levels of salinity stress for 5 days. Results revealed that turf quality in all tissues (leaves, stems and roots) of both grass accessions negatively and significantly correlated with GFS (Glu+Fru+Suc) content, except for ‘Overdrive’ stems. Relative growth rate (RGR) in leaves negatively and significantly correlated with GFS content in ‘Overdrive’ (P < 0.01) and PI 538976 (P < 0.05) under salt stress. ‘Overdrive’ had higher CO2 assimilation and Fv/Fm than PI 538976. Intercellular CO2 concentration, however, was higher in ‘PI 538976 treated with 400 mM NaCl relative to that with 200 mM NaCl. GFS content negatively and significantly correlated with RGR in ‘Overdrive’ and ‘PI 538976 leaves and in PI 538976 stems and roots under salt stress. 

In leaves, carbohydrate allocation negatively and significantly correlated with RGR (r2=0.83, P < 0.01) and turf quality (r2=0.88, P < 0.01) in salt-tolerant ‘Overdrive’, however, the opposite trend for salt-sensitive PI 538976 (r2=0.71, P < 0.05 for RGR; r2=0.62, P > 0.05 for turf quality). A greater up-regulation in the expression of rbcL, SPS, SS, SI, 6-SFT gene and LSU was observed in ‘Overdrive’ than PI 538976. A higher level of SPS and SS expression in leaves was found in ‘PI 538976 relative to ‘Overdrive’. Accumulation of hexoses in roots, stems and leaves could induce a feedback repression to photosynthesis in salt-stressed perennial ryegrass and the salt tolerance may be changed with the carbohydrate allocation in leaves and stems. 

This research was financially supported by National Natural Science Foundation of China and Special Fund for Public Welfare Industrial (Agriculture) Research of China. Relevant results were published in Journal of the American Society for Horticultural Science and Plos One. 

 

Correlations of GFS, carbohydrate allocation, RGR and turf quality in leaves, stems and roots of two perennial ryegrass accessions PI 538976 and ‘Overdrive’ in response to salt stress. (Image by Dr. HU Tao) 

 

Reverse transcription–polymerase chain reaction analyses of rbsL gene in the leaves of two perennial ryegrass genotypes (‘BARLP 4317’ and PI 516605) at 0, 4, and 8 d of salinity stress. YT521-B gene was used as the reference gene for cDNA normalization (A). The sodium dodecyl sulfate-polyacrylamide gel electrophoresis (SDS-PAGE) profiles of Rubisco small subunit (SSU) and Rubisco large subunit (LSU) from leaves of both genotypes under salt stress (B). (Image by Dr. HU Tao)
Copyright 2002 - 2025 Wuhan Botanical Garden,Chinese Academy Of Sciences
Email: wbgoffice@wbgcas.cn     ICP: 05004779-1